Sin A B Cos A B Sin A B Cos A B Sin2a

Prove That A B Cos A B Sin A B Cos A B Sin2a Brainly In

Prove That A B Cos A B Sin A B Cos A B Sin2a Brainly In

Prove Sin A B Sin A B Sin 2a Sin 2b Youtube

Prove Sin A B Sin A B Sin 2a Sin 2b Youtube

A To Use The Formulae Sin A B Cos A B And Tan A B B To Derive And Use The Double Angle Formulae C To Derive And Use The Half Angle

A To Use The Formulae Sin A B Cos A B And Tan A B B To Derive And Use The Double Angle Formulae C To Derive And Use The Half Angle

How To Prove That Sin 2 A Sin 2 B Sin A Cos A Sin B Cos B Tan A B Quora

How To Prove That Sin 2 A Sin 2 B Sin A Cos A Sin B Cos B Tan A B Quora

If Sin A B 1 2 Cos A B 1 2 Then Find The Value Of A Amp B Brainly In

If Sin A B 1 2 Cos A B 1 2 Then Find The Value Of A Amp B Brainly In

Cos A B Cos A B Cos 2a Sin 2b Youtube

Cos A B Cos A B Cos 2a Sin 2b Youtube

Cos A B Cos A B Cos 2a Sin 2b Youtube

Cos A B Sin A B 2 Sin 45 0 A Cos 45 0 B Youtube

Cos A B Sin A B 2 Sin 45 0 A Cos 45 0 B Youtube

Cos A B Cos A B Cos 2a Sin 2b Cos 2b Sin 2a Brainly In

Cos A B Cos A B Cos 2a Sin 2b Cos 2b Sin 2a Brainly In

How To Prove That Sin 2 A Sin 2 B Sin A Cos A Sin B Cos B Tan A B Quora

How To Prove That Sin 2 A Sin 2 B Sin A Cos A Sin B Cos B Tan A B Quora

Prove That Sin A B Sin A B Sin 2a Sin 2b Cos 2b Cos 2a Youtube

Prove That Sin A B Sin A B Sin 2a Sin 2b Cos 2b Cos 2a Youtube

If Sin A B 1 And Cos A B 3 2 Find The Value Of A Andb Brainly In

If Sin A B 1 And Cos A B 3 2 Find The Value Of A Andb Brainly In

A 2 Cos2b B 2 Cos 2a 2 Ab Cos A B C 2 Youtube

A 2 Cos2b B 2 Cos 2a 2 Ab Cos A B C 2 Youtube

If Sin A B 3 5 Sin A B 4 5 And Sin A B A B Sin A Math Introduction To Trigonometry 12777519 Meritnation Com

If Sin A B 3 5 Sin A B 4 5 And Sin A B A B Sin A Math Introduction To Trigonometry 12777519 Meritnation Com

Pinkmonkey Com Trigonometry Study Guide 4 5 Factorization And Defactorization

Pinkmonkey Com Trigonometry Study Guide 4 5 Factorization And Defactorization

If Cos A B 0 Then Sin A B Can Be Reduced To What A Cos B B Cos 2b C Sin A D Sin 2a And Brainly In

If Cos A B 0 Then Sin A B Can Be Reduced To What A Cos B B Cos 2b C Sin A D Sin 2a And Brainly In

If Cos A B 0 Then Sin A B Can Be Reduced To I Cos A Ii Cos 2a Iii Sin A Iv Sin 2a Edurev Class 10 Question

If Cos A B 0 Then Sin A B Can Be Reduced To I Cos A Ii Cos 2a Iii Sin A Iv Sin 2a Edurev Class 10 Question

Can You Prove That Tan A B Tan A B Sin2b Cos 2b Sin 2a Quora

Can You Prove That Tan A B Tan A B Sin2b Cos 2b Sin 2a Quora

Trigonometric And Geometric Conversions Sin A B Sin A B Sin Ab

Trigonometric And Geometric Conversions Sin A B Sin A B Sin Ab

Trigonometric And Geometric Conversions Sin A B Sin A B Sin Ab

Trigonometric And Geometric Conversions Sin A B Sin A B Sin Ab

Sir If Sin A B 1 2 Cos A B 1 2 Find A B Mathematics Topperlearning Com N2bp87cc

Sir If Sin A B 1 2 Cos A B 1 2 Find A B Mathematics Topperlearning Com N2bp87cc

In Deltaabc Prove That Br Sin 2 A Sin 2 B Sin 2 C Br

In Deltaabc Prove That Br Sin 2 A Sin 2 B Sin 2 C Br

Half Angle Identities

Half Angle Identities

Prove That Expert Sin 2a Cos 2 A B Cos 2b 2cos A B Cosa Cos B Math Trigonometric Functions 13853901 Meritnation Com

Prove That Expert Sin 2a Cos 2 A B Cos 2b 2cos A B Cosa Cos B Math Trigonometric Functions 13853901 Meritnation Com

In Any Triangle Abc A B 2sin 2c 2 A B 2cos 2c 2 3biffjff Mathematics Topperlearning Com

In Any Triangle Abc A B 2sin 2c 2 A B 2cos 2c 2 3biffjff Mathematics Topperlearning Com

Sin A Sin B

Sin A Sin B

If Sina Sinb Sinc Cosa Cosb Cosc 0 Then A Cos A B 1 2 B

If Sina Sinb Sinc Cosa Cosb Cosc 0 Then A Cos A B 1 2 B

2

2

Trigonometric Ratios And Identities 1

Trigonometric Ratios And Identities 1

Solved Create A C Program That Would Evaluate The Left Chegg Com

Solved Create A C Program That Would Evaluate The Left Chegg Com

If Cos A B 0 And Sin A B 1 2 Then Find The Value Of Aand B Where Aand B Are Acute Angle Brainly In

If Cos A B 0 And Sin A B 1 2 Then Find The Value Of Aand B Where Aand B Are Acute Angle Brainly In

Trigonometric And Geometric Conversions Sin A B Sin A B Sin Ab

Trigonometric And Geometric Conversions Sin A B Sin A B Sin Ab

Tan A Tan B Sin A B Sin A B Cos A Cos B Prove Trigonometric Ratios Of Compound Angles Trigonometry Sci Pi Sci Pi Science And Mathematics Notes With Solutions

Tan A Tan B Sin A B Sin A B Cos A Cos B Prove Trigonometric Ratios Of Compound Angles Trigonometry Sci Pi Sci Pi Science And Mathematics Notes With Solutions

Prove That Sin 2b Sin 2a Sin 2 A B A 2cosa Cosb Sin A B Math Trigonometric Functions 5339476 Meritnation Com

Prove That Sin 2b Sin 2a Sin 2 A B A 2cosa Cosb Sin A B Math Trigonometric Functions 5339476 Meritnation Com

If Sin A B Sinacosb Cosasinb And Cos A B Cosacosb Sinasinb Find The Values Of I Sin75 Youtube

If Sin A B Sinacosb Cosasinb And Cos A B Cosacosb Sinasinb Find The Values Of I Sin75 Youtube

If Cos A B 3 5 And Cos A B 4 5 How Do I Find Sin2a Quora

If Cos A B 3 5 And Cos A B 4 5 How Do I Find Sin2a Quora

Trigonometry For Class Xi

Trigonometry For Class Xi

Solved Simplify Sin A B Sin A B Cos A B Cos A B 1 Chegg Com

Solved Simplify Sin A B Sin A B Cos A B Cos A B 1 Chegg Com

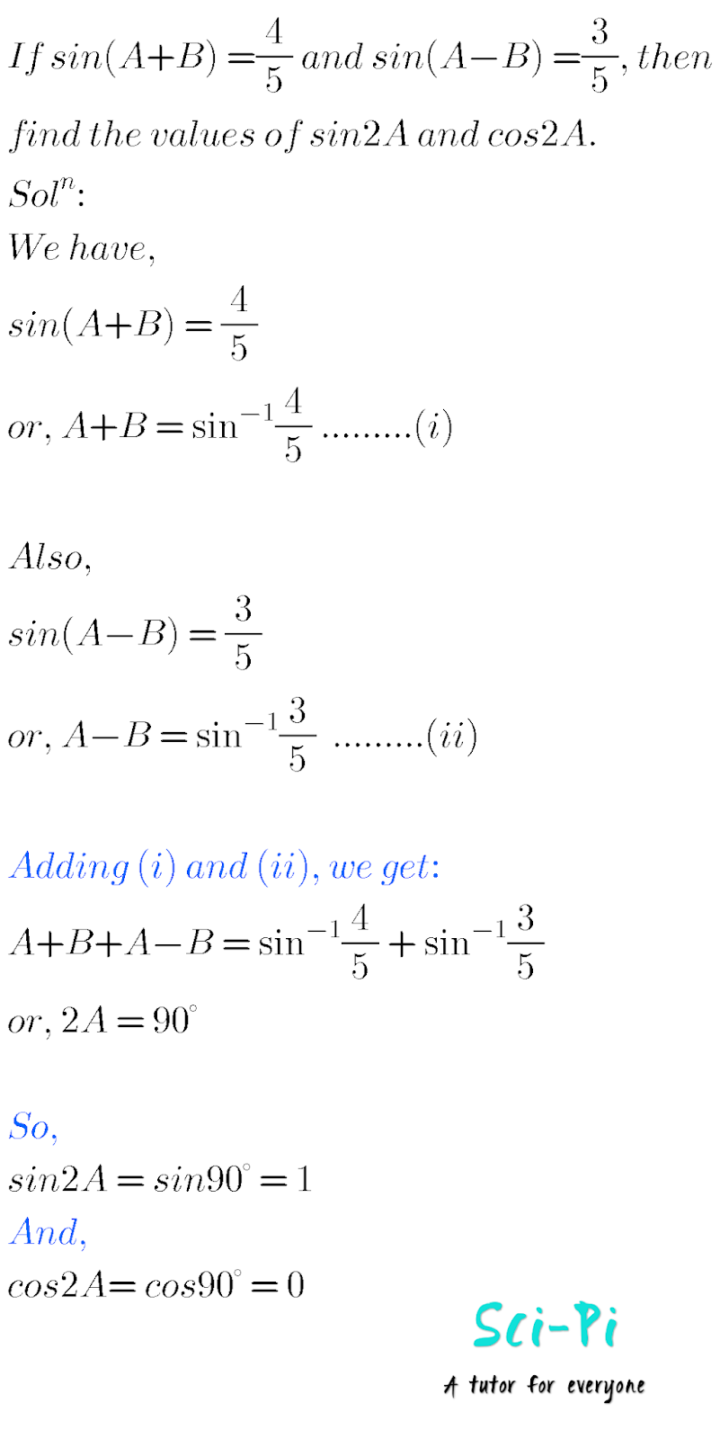
If Sin A B 4 5 And Sin A B 3 5 Then Find The Values Of Sin2a And Cos2a Trigonometric Ratios Of Compound Angles Trigonometry Sci Pi Sci Pi Science And Mathematics Notes With Solutions

If Sin A B 4 5 And Sin A B 3 5 Then Find The Values Of Sin2a And Cos2a Trigonometric Ratios Of Compound Angles Trigonometry Sci Pi Sci Pi Science And Mathematics Notes With Solutions

Ex 8 2 4 True Or False I Sin A B Sin A Sin B

Ex 8 2 4 True Or False I Sin A B Sin A Sin B

Trigonometric Functions Notes

Trigonometric Functions Notes

Source : pinterest.com