Sin Pi 2 X Cos X

Prove Cos X Pi 2 Sinx Youtube

Prove Cos X Pi 2 Sinx Youtube

Prove Sin X Pi 2 Cosx Youtube

Prove Sin X Pi 2 Cosx Youtube

Show The Trig Identity Sin Pi 2 Theta Cos Theta Youtube

Show The Trig Identity Sin Pi 2 Theta Cos Theta Youtube

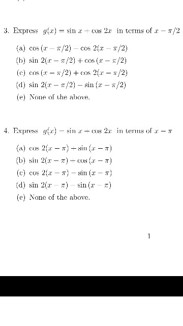
Solved 1 Of 5 3 Express G X Sin X Cos 2x In Terms O Chegg Com

Solved 1 Of 5 3 Express G X Sin X Cos 2x In Terms O Chegg Com

Biomath Trigonometric Functions

Biomath Trigonometric Functions

Sin Pi 2 X Cot Pi 2 X Sinx Trigonometric Identities With Related Acute Angle Youtube

Sin Pi 2 X Cot Pi 2 X Sinx Trigonometric Identities With Related Acute Angle Youtube

Sin Pi 2 X Cot Pi 2 X Sinx Trigonometric Identities With Related Acute Angle Youtube

How Do You Prove Cos X Pi 2 Sin X Socratic

How Do You Prove Cos X Pi 2 Sin X Socratic

Solved Can Someone Explain How Sin X Pi 2 Becomes The Chegg Com

Solved Can Someone Explain How Sin X Pi 2 Becomes The Chegg Com

How To Verify Trig Identities Sin P 2 X Cos X Trigonometry Youtube

How To Verify Trig Identities Sin P 2 X Cos X Trigonometry Youtube

Solved 3 Exprcss G Z Sin X Cos 2x In Terns Of X P 2 Chegg Com

Solved 3 Exprcss G Z Sin X Cos 2x In Terns Of X P 2 Chegg Com

How To Integrate 2 Sin P 2 X 2 Quora

How To Integrate 2 Sin P 2 X 2 Quora

Biomath Trigonometric Functions

Biomath Trigonometric Functions

Proving Left Frac 1 Sin X I Cos X 1 Sin X I Cos X Right N Cos N Left Frac Pi 2 X Right I Sin N Left Frac Pi 2 X Right Mathematics Stack Exchange

Proving Left Frac 1 Sin X I Cos X 1 Sin X I Cos X Right N Cos N Left Frac Pi 2 X Right I Sin N Left Frac Pi 2 X Right Mathematics Stack Exchange

Prove Csc Pi 2 X Sec X Brainly Com

Prove Csc Pi 2 X Sec X Brainly Com

Why Is Mathematica Converting Sin X Pi 2 To Cos X Mathematica Stack Exchange

Why Is Mathematica Converting Sin X Pi 2 To Cos X Mathematica Stack Exchange

F X Cos X Sin X Find F P 2 And F P 4 Brainly In

F X Cos X Sin X Find F P 2 And F P 4 Brainly In

Packet 21 Trigonometric Identities Ppt Download

Packet 21 Trigonometric Identities Ppt Download

Limit Trigonometric Function Sin X Pi 6 Sqrt 3 2cosx Youtube

Limit Trigonometric Function Sin X Pi 6 Sqrt 3 2cosx Youtube

Solved Simplify Sin Pi 2 Theta Tan Theta 1 Chegg Com

Solved Simplify Sin Pi 2 Theta Tan Theta 1 Chegg Com

Graphs Of Trigonometric Functions

Graphs Of Trigonometric Functions

List Of Trigonometric Identities

List Of Trigonometric Identities

Solved Use The Subtraction Formula For Sine To Verify Thi Chegg Com

Solved Use The Subtraction Formula For Sine To Verify Thi Chegg Com

How To Simply Prove That Cos P 2 X Sinx Quora

How To Simply Prove That Cos P 2 X Sinx Quora

Trigonometry Identities Cos 2p X Sin 2p X Cos P 2 X Sin P 2 X Youtube

Trigonometry Identities Cos 2p X Sin 2p X Cos P 2 X Sin P 2 X Youtube

Https Encrypted Tbn0 Gstatic Com Images Q Tbn 3aand9gcrejftp2zql5ll8uzog20ypzi 5zp3x Cxg3drkriy Usqp Cau

Https Encrypted Tbn0 Gstatic Com Images Q Tbn 3aand9gcrejftp2zql5ll8uzog20ypzi 5zp3x Cxg3drkriy Usqp Cau

Which Function Is Undefined When X Pi 2 Radians Cos X Cot X Csc

Which Function Is Undefined When X Pi 2 Radians Cos X Cot X Csc

Prove That Cos P X Cos X Sin P X Cos P

Prove That Cos P X Cos X Sin P X Cos P

Example 15 Prove Cos Pi 4 X Cos Pi 4 X Root 2 Cos X

Example 15 Prove Cos Pi 4 X Cos Pi 4 X Root 2 Cos X

Content Graphing The Trigonometric Functions

Content Graphing The Trigonometric Functions

Prove That Cos Pi X Cos X Sin Pi X Cos Pi 2 X Cotsqrt2 X Mathematics Shaalaa Com

Prove That Cos Pi X Cos X Sin Pi X Cos Pi 2 X Cotsqrt2 X Mathematics Shaalaa Com

Sin Pi X Cos Pi 2 X Tan 3pi 2 X Cot 2pi X Sin 2pi X Cos 2pi X C O S E C X Sin 3pi 2 X Youtube

Sin Pi X Cos Pi 2 X Tan 3pi 2 X Cot 2pi X Sin 2pi X Cos 2pi X C O S E C X Sin 3pi 2 X Youtube

Solved Simplify Sin Pi 2 X Cos X Verify The Identit Chegg Com

Solved Simplify Sin Pi 2 X Cos X Verify The Identit Chegg Com

Ex 3 3 9 Prove Cos 3pi 2 X Cos 2pi X Cot 3pi 2 X

Ex 3 3 9 Prove Cos 3pi 2 X Cos 2pi X Cot 3pi 2 X

What Is Lim Limits X To 0 Frac Sin Pi Cos 2x X 2 Mathematics Stack Exchange

What Is Lim Limits X To 0 Frac Sin Pi Cos 2x X 2 Mathematics Stack Exchange

Math34 Trigonometric Formulas

Math34 Trigonometric Formulas

Prove That Cos Pi X Cos X Sin Pi X Cos Pi 2 X Cot 2x Youtube

Prove That Cos Pi X Cos X Sin Pi X Cos Pi 2 X Cot 2x Youtube

Sin Pi X Cos Pi 2 X 1 Pi 3pi 2 Larin 13

Sin Pi X Cos Pi 2 X 1 Pi 3pi 2 Larin 13

Solved 2q8 Lim X Right Arrow 0 Pi 1 Sin 2 X Cos Chegg Com

Solved 2q8 Lim X Right Arrow 0 Pi 1 Sin 2 X Cos Chegg Com

Solved Prove The Identify Cos X Pi 3 Sin X Pi 6 Chegg Com

Solved Prove The Identify Cos X Pi 3 Sin X Pi 6 Chegg Com

Prove That Sin Pi 4 X Sin Pi 4 X Sqrt 2 Cosx Youtube

Prove That Sin Pi 4 X Sin Pi 4 X Sqrt 2 Cosx Youtube

Source : pinterest.com